刘志红
当前,江西正在纵深推进国家生态文明试验区建设,高标准建成美丽中国“江西样板”。数字经济已成为重组全球要素资源、重塑全球经济结构、改变全球竞争格局的关键力量,发展数字经济是把握新一轮科技革命和产业变革新机遇的战略选择。探讨数字经济发展能否作为一种“新引擎”与“新动力”,一方面减少碳排放、赋能碳达峰,另一方面提升经济增长效率、助力基本实现现代化目标,具有重要的现实意义和学术价值。数字经济通过技术创新、优化产业结构降低能源强度,通过调整能源需求结构降低能源排放因子,提升碳生产率以抑制碳排放,具有正向碳减排效应。本文基于对碳达峰本质的认知,结合经典理论分析数字经济赋能碳达峰的机理,探讨江西实现碳达峰的可选择路径。
一、理论基础
数字经济通过优化资源配置、助推产业结构升级、促进技术进步、提高碳生产率,实现碳减排,即通过技术效应和结构效应发挥减碳作用。同时,数字经济也可能通过以下途径产生增碳效应:一是数字经济基础设施的建设和运营会引致大量能源与电力消耗,增加碳排放;二是数字经济与实体经济融合催生新业态、新领域,带动更多数字产品消费和服务,造成额外能源消耗与碳排放;三是数字经济发展提升能源效率和全要素生产率,促进经济规模扩张,可能出现杰文斯困局,进而增加碳排放量。现有研究主要形成三类观点:抑制论、促进论和非线性论。
抑制论认为,数字经济发展能有效抑制碳排放增长,数字经济具有减碳效应。徐维祥等学者从空间维度探究数字经济的减碳效应,发现数字经济发展不仅抑制本地区碳排放,还显著影响邻近地区的碳排放;胡汉辉等学者认为数字经济可通过促进绿色创新,推动碳排放量降低和碳生产率提升,实现碳减排。
促进论认为,数字经济并没有表面上的那么“清洁”,数字经济发展总体上对碳排放具有促增效应。尽管数字经济的技术进步效应降低了碳排放强度,但也促进了电力等能源消耗,产生大量二氧化碳排放:一是新基建投资效应,数字经济发展高度依赖5G基站、数据中心等新型基础设施的建设和使用,加剧碳排放;二是能源回弹效应,数字化转型仅能带来有限节能减排效应,还可能通过固化能源消费结构、刺激经济增长等途径增加能源需求,加剧能源消耗和环境污染;三是生产和消费的规模效应,在能源结构和能源效率尚未改善的条件下,数字经济与实体经济融合会导致生产规模扩大和能源需求上升,进而增加碳排放。
非线性论认为,数字经济在不同发展阶段对碳排放的影响具有异质性,总体上呈现倒U型关系。缪陆军等学者基于固定效应模型发现数字经济在发展初期加剧碳排放,在发展到一定水平后将抑制碳排放。李治国等学者研究认为,数字经济发展对城市碳排放的影响具有先增加后减少的倒U型特征,即前期具有“加速器”效果,后期表现为“减速带”作用。
二、数字经济赋能碳达峰的理论机制
碳达峰的本质是,在经济增长的情况下,碳排放不再随经济增长而增长,甚至呈现下降趋势。在碳排放空间约束下,要实现经济增长,唯一路径是不断提高碳排放额度的使用效率(简称“碳生产率”)。
(一)碳达峰水平指标构建
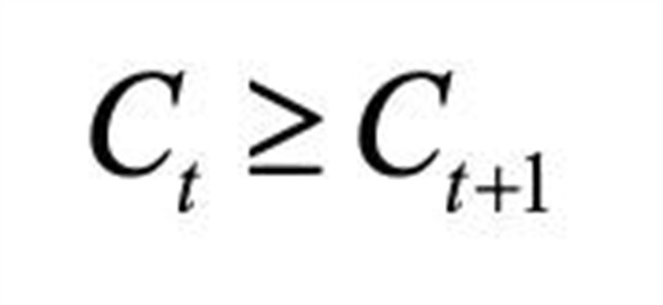
碳达峰是指经济体在某一时点t年的碳排放量达到历史最大值,则t年碳排放量Ct与下一年度碳排放量Ct+1的关系为
。则有
。
将碳排放强度转换成碳生产率(CP),则碳生产率变化率(Rcp)与GDP增长率(Rgdp)
之间关系为 
。GDPt和CPt皆为正数,整理得
,即碳达峰的必要条件是年碳生产率的变化率不小于年GDP增长率。因此,某一个时点经济体碳生产率变化率与GDP增长率的比值可以体现该经济体的碳达峰水平(P),表示如下:

在GDP增长率大于零情况下,若碳达峰水平(P)大于1,表明该区域经济社会发展靠近碳达峰目标;若碳达峰水平(P)小于1,表明该区域经济社会发展偏离碳达峰目标。
(二)数字经济赋能碳达峰机理分析
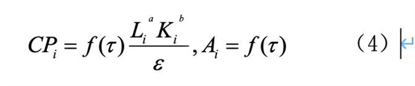
上文根据碳生产率变化率与GDP增长率的比值构建了碳达峰水平指数,碳生产率成为核心研究变量。参考吴传清、邓明亮等学者的研究思路,构建数字经济影响碳生产率的理论分析模型,首先构建包含能源消耗的生产函数:


式(2)、式(4)中,Y1表示工业总产出;CP1表示碳生产率;A1表示技术创新水平;L1表示劳动力供给;K1表示资本投入;E1表示能源消耗;?着表示各能源的碳排放折算系数。数字经济发展以ICT等科技创新为支撑和需求,数字经济通过技术进步以及优化要素配置参与和影响生产。因此,技术进步水平与数字经济发展水平(τ)正相关,可得数字经济与碳生产率函数关系式。

由式(4)可知,数字经济通过促进技术进步和优化资源配置促进碳生产率提升。
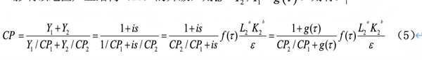
进一步考察数字经济对产业结构的影响,进而提升碳生产率。已有研究表明数字经济能够有效促进产业结构转型升级,产业结构转型升级能够促进数字经济与碳排放的U型拐点提前到来。将经济部门进一步划分为高碳部门(碳生产率为CP1)和低碳部门(碳生产率为CP2),有
。一个地区数字经济发展水平τ影响该地区产业结构(is)的升级,则
。则有:
由于
,随着数字经济发展水平(τ)的提高,低碳部门占比提升,产业结构(is)优化升级,促进碳生产率提升。
综上,数字经济发展主要通过技术进步与产业结构优化升级两条路径影响碳生产率。同时,文献梳理表明数字经济发展对社会经济具有促增作用。因此,本文将数字经济、碳生产率和经济增长纳入同一分析框架,从数字经济视角探讨江西实现碳达峰的可能路径。
三、江西实现碳达峰的路径选择
(一)推动制造业数字化转型升级
聚焦江西省“1269”行动计划,大力推进制造业数字化转型。数字技术正引领新一轮科技革命与产业革命的战略性变革,数字化以迅猛势头推动制造业全面升级,以不可逆转的趋势改变商业模式、研发模式、运营模式及服务模式。制造业可通过优化生产流程、提高能源利用效率、调整产业结构、实施全链条碳管理等方式,降低碳排放,助力碳达峰。2024年,江西全省数字经济规模达1.42万亿元,占GDP比重41.5%,数字经济已成为江西经济高质量发展的强大动力。因此,企业应转变观念,拓宽融资渠道,提升技术创新能力,加大传统产业尤其是制造业的数字化转型力度。
(二)构建数字控碳平台体系
发展数字经济是把握新一轮科技革命和产业变革新机遇的战略选择。借助数字与智能技术构建数字控碳平台,可实现智能化排碳、控碳,有效降低碳排放,同时加强碳汇核算与监控。数字技术能够汇集、整理涉“碳”信息,通过场景化应用提升控碳精度和效率。目前,江西“生态云”平台已列入国家推广清单,抚州市“绿宝”碳普惠平台逐步成熟,省级“绿宝碳汇”平台运行平稳。建议加快推进“数智控碳”平台建设,构建“1+1+N”平台体系,形成碳排放全景图,实现“排碳可见”“用能可视”“排碳可控”和“用能可控”的数智化赋能碳达峰“江西模式”。
(三)利用数字技术促进能源管理创新
数字经济可以通过技术创新提升能源利用效率,推动能源结构向低碳型转型。一方面,数字产业自身可通过技术升级降低能源消耗,如采用液冷等新技术提高服务器能源效率;另一方面,数字经济能输出技术能力,助力其他行业优化能源消耗,如利用数字化技术解决化石能源消耗大、转化率低等问题,帮助新能源电站高效运行。此外,数字技术还可助力碳交易市场建立,解决排放量检测、报告与核查等技术问题,推动能源利用率高的企业参与碳排放权交易,引导企业主动节能减排,进而推动江西能源管理领域的技术进步,促进碳达峰目标实现。
本文为江西省高校人文社会科学研究项目“碳中和背景下江西碳达峰情景预测及实现路径研究”(TJ21102)研究成果。
(作者单位:江西宜春学院经管学院)