■ 李后强
以泸州老窖为代表的优质浓香型白酒,在数百年实践中证明了一个科学事实——“窖泥老、酒质好”。为什么如此?最近出版的《老窖学》作出了全面回答。这里的核心思想是由协同学引出的“十大猜想”(中国工业报2025年1月20日第9版),本质是微分几何的“庞加莱猜想”,关键概念是“里奇流”(Ricci flow或叫“瑞气流”)。运用里奇流可以说明为什么“窖老、酒好”这个普遍现象。因为,窖老泥老,泥老菌老,菌老熵减,熵减就能“增加有序性、降低无序性”“有益菌增多、有害菌减少”,结果是酒质好!根基在老窖池、老窖泥!
从自然科学角度讲,“窖老、酒好”主要在于窖泥菌群社会进化。在菌群社会里,简单的竞争合作规则一定会导致复杂行为。老窖泥中的微生物,由于存活时间长,出现了短期进化,在竞争与合作中,淘汰了“有害分子”,整改了“不良行为”,集体得到进化优化,“文明”程度提高,协同互助加强,生香效应突出。可以肯定,在资格老、历史久的老窖泥中,酿酒微生物系统存在耗散结构,协同效应,自组织行为(SO),静态孤波(soliton)(局域模)等特异现象。随着时间推移,微生物系统熵减,菌群网络构成“里奇流”,规则性、有序性增强,组织化程度提高,酿制好酒的有益菌增加。这种现象在川南地区尤其突出,因为地形地貌、山水林草极为特殊。

泸州地形属于馒头型地貌,类似于泥封的窖池,说明天生就是酿酒地形。这种地貌可用CT(Computed Tomography,计算机断层成像)的拉东(randon)变换来研究。拉东变换是将一个二维函数投影到一个一维函数上的数学变换,由奥地利数学家约翰·拉东于1917年提出,目前被广泛地应用在断层扫描,其反变换可以从断层扫描的剖面图重建出投影前的函数。

要说明中国名酒出在四川盆地南边,特别是泸州与四川盆地的关系,可用格林公式 (Green formula)描述。格林公式描述了二维平面区域内曲线积分与区域内部二重积分之间的关系,特别适用于处理平面内的向量场问题,用于研究盆边效应。格林公式阐述了一个简单而又重要的物理事实——守恒。比如打台球:击球产生的能量=桌面消耗的能量+桌边消耗的能量。调整一下得到:桌边消耗的能量(桌边的能量和)=击球产生的能量-桌面消耗的能量(桌边围成区域内的能量和)。格林公式的形式: 设C是平面上一条简单闭合曲线,是由C围成的区域,P(x, y)P(x,y)和Q(x, y)Q(x,y)是定义在D上的两个连续可微函数,则格林公式为:

其中,左侧是沿闭合曲线C的路径积分,右侧是区域D内的二重积分。泸州的窖池位于四川盆地边缘地带,这里的环境条件(如温度、湿度、光照等)可能存在一定的梯度变化。微生物在这样的环境中活动时,可能会沿着不同的路径进行迁移和代谢。路径积分可以帮助我们理解微生物在不同路径上的行为,以及这些路径如何影响最终的酿酒结果。
丰富的微生物资源是川南地区适合酿酒的核心优势。泸州天空中有罕见的发酵微生物气溶胶,涵盖了各种对酿酒有益的菌种。气溶胶的高度分布与颗粒大小、地形地貌有关。一般来说,海拔越高,气溶胶浓度越低。泸州特殊地形地貌特别是大量馒头型地貌决定了空中酿酒微生物十分丰富。气溶胶微生物影响着酒的风味和品质。
老窖池微生物系统存在突出的协同作用,可用协同学(Synergetics)研究。这是由德国物理学家赫尔曼·哈肯(H. Haken)提出的一个跨学科理论,主要用于描述复杂系统中不同组成部分之间的合作现象。关键概念是:1. 菌群系统序参量(Order Parameter):用来描述系统从无序状态向有序状态转变时的主要特征,序参量随时间的变化可以揭示系统结构的变化情况。2.菌群系统控制参数(Control Parameter):这是用来调节系统行为的外部条件或内部参数。当控制参数越过某个临界值时,系统可能会经历相变,导致序参量发生显著变化。3.菌群系统主方程(Master Equation):用于描述系统状态概率分布随时间演化的过程,它是理解系统动态行为的基础工具之一。4.菌群系统福克-普朗克方程(Fokker-Planck Equation):这是一种特殊类型的偏微分方程,常用于描述随机过程的概率密度函数如何随着时间演变,在协同学中,它有时被用来近似处理主方程。5.菌群系统分岔理论(Bifurcation Theory):研究系统的行为如何随着控制参数的变化而突然改变。这在分析系统的稳定性及其转换机制方面非常重要。6.菌群系统模式形成(Pattern Formation):通过分析非线性动力学系统中的相互作用,探讨空间和时间上的模式是如何形成的。需要结合实际背景,选择合适的数学工具进行建模和分析。
老窖微生物系统行为可以用熵来描述。在孤立的封闭系统中,熵是增加的,表示混乱度增加。在关联的开放系统中,熵是减少的,表示有序性增加。其实,熵是表示热流量(分子运动)的函数,本质是能量流,有多种定义,比如:热力学定义熵、玻尔兹曼熵、吉布斯熵、香农熵、冯·诺依曼熵、里奇流熵,前三个定义属于热力学和统计物理的范畴,后三个定义属于信息论的范畴,都是等价的,是一回事,它们都是对系统不确定度(混乱度)的衡量。这给我们展示了一个惊人的结果:本来看似毫不相干的热物理和信息论这两门学科,其实是可以通过熵来紧密相连的。2002年,俄罗斯数学家G. Perelman对 Ricci流引进了F与W-熵,在文章《里奇流的熵公式及其几何应用》中证明了关于Ricci流的非局域塌缩(non local collapsing)定理,就是没有“奇点”, 为“庞加莱”(Poincare)猜想和几何化猜想的最后解决扫清了巨大的障碍。近年利用Boltzmann熵、Perelman W-熵及Renyi熵研究和刻画Ricci流、Einstein度量及拟Einstein度量等取得重要成果,对理解老窖学具有深刻价值。老窖池中的微生物系统熵是减少的,有序度提升,在某些条件下可能出现“麦克斯韦妖”(物理学中假想的“妖”,探测并控制单个分子的运动)。
在老窖池中的微生物系统可能形成“静态孤波”。这种孤波很稀少,但存在于老窖中,这就是“局域模”(localized modes),通常出现在非线性介质中。传统意义上的孤波是运动的,因为它涉及能量或信息在空间中的传递,由罗素在水波中发现。然而,在老窖特定条件下,这些静态孤波不会在空间中移动,而是局限于某一区域。孤波的存在通常依赖于老窖系统内部的平衡条件,比如非线性效应与色散效应之间的精确平衡,或者是外部势阱提供的约束。色散是复色光分解为单色光而形成光谱的现象。从广泛的意义上来说,色散不仅指光波分解成频谱,而且任何物理量只要随频率(或波长)变化而变化,都称色散,例如旋光色散等。

庞加莱猜想是天地观的数学基础。几何是探索真理的捷径。几何化就是可视化、形象化、简约化。老窖“天地同酿、人间共生”是强调天地人关系即天地观,是一个几何结构,这是三维以上的“庞加莱猜想”(Poincaré conjecture),由法国数学家亨利·庞加莱在1904年提出的。核心内容是:任何一个单连通的(没有孔洞)、闭合的三维流形都可以同胚于(相同于)三维球面。或者说,如果一个三维空间没有孔(单联通的),那么它一定是三维球面。这意味着,任何没有孔洞的闭合曲面都可以通过连续变形收缩为一个点。该猜想在2002年被俄罗斯数学家格里戈里·佩雷尔曼(Perelman)证明。流形(manifold)是一种数学概念,它描述了在局部看起来像欧几里得空间(如平面或者空间)的拓扑空间。换句话说,流形是一个可以在局部范围内近似为欧几里得空间的空间。流形就像地球表面,每个小点附近都是平坦、平直的,但整个地球表面是弯曲凹凸的,这就是流形。地球表面是一个二维流形。尽管地球表面是一个三维空间的曲面,但在局部范围内,在很小的区域内,我们可以使用二维坐标系(如纬度和经度)来描述地球表面上的点。流形的一个关键特性是它们可以被局部地赋予坐标系统。这使得我们可以使用微分和积分等数学工具在流形上进行计算。在物理学中,流形的概念被用于描述空间和时间的结构。例如,在广义相对论中,时空被建模为一个四维的弯曲流形。
二维球面非常直观,就是在三维空间中所有与原点距离等于r的点组成的面,这些点的坐标(x,y,z)满足方程:x2+y2+z2=r2。同样,三维球面是由四维空间中所有与原点距离等于r的点组成的面,这些点的坐标(x,y,z,w)满足方程:x2+y2+z2+w2=r2。三维球面我们无法在三维空间看到,只能用两种方法构建和想象,一是在三维空间加上一个无穷远的点,就是三维球面。这里三维就是天地人,无穷远点就是时间,共同构成天地人时的四维时空。二是两个实心球沿着边界(边界是二维球)黏合起来可以构成三维球面。实心球是三维,就是天地人,粘合是时间,共同构成四维时空。这两个方法看上去非常简单,实际上背后隐藏着很多东西。中国学者王德奎根据他的“三旋理论”提出了三种庞加莱猜想,即“正猜想”的收缩或扩散,涉及点、线、平面和球面;“逆猜想”的收缩或扩散,涉及圈线、管子和环面;“外猜想”的空心圆球内外表面及翻转,涉及正、反膜面和点内、外时空,据说借助庞加莱猜想外定理的空心圆球内外表面翻转熵流,把时间之箭和热力学、量子论、相对论、超弦论等联系了起来,说明“环状结构”类似“暗物质”。总之,庞加莱猜想给我们带来无穷想象,引发了众多新学科的诞生。与此类似,还有“卡拉比猜想”,由意大利著名几何学家卡拉比在1954年国际数学家大会上提出,内容为在封闭的空间,可能存在没有物质分布的引力场。拉比猜想的一个本质问题是:没有任何物质的某种空间,是否可以是里奇平坦,同时空间依旧是弯曲的?美籍华裔数学家丘成桐证明了此猜想,发明了“卡拉比-丘”流形,揭示了在十维空间里除了现实生活的(x,y,z,t)四维时空外,还有一个额外的卷曲的很小的六维空间即“卡拉比-丘”空间。这个空间可能存在于微观量子尺寸,甚至可以认为它们的存在小到普朗克尺度。老窖微生物可能生活在十维(4+6)空间里。

卡拉比-丘空间
菌群系统是一个“里奇流”,其行为从不规则到规则。里奇流是一个内蕴的几何流(geometric flows),在广义相对论中被视为等同于时空的物质分布。对泸州老窖而言,里奇流就是老窖池里面酿造出来的奇异流体,就是“浓香白酒”!为什么可以用微分几何的流形来处理老窖微生物系统呢?因为菌群是一个复杂网络体系,各个菌群之间存在相互作用,表现出几何性质和动态特征,可以抽象为一个高维流形。根据里奇流,我们知道了老窖池里的微生物是如何走向“文明”和变得更“优秀”的,普通窖池难以产生里奇流。
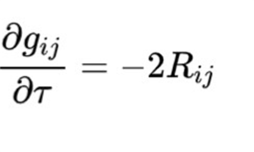
里奇流(Ricci flow)是以意大利数学家里奇(G.Ricci)命名的一个方程。 用它可以完成一系列的拓扑手术,构造几何结构,把不规则的流形变成规则的流形,从而解决三维的庞加莱猜想。里奇流方程是由数学家理查德·汉密尔顿(Richard S. Hamilton)于1982年提出。该方程描述了一个流形上的度量如何随时间演化,最简单的里奇流为偏微分方程为:

或者

其中,gij是流形的度量张量,Rij 是里奇张量(曲率),t是描述流形演化的参数,可以理解为时间(但是未必具有物理时间的含义)。该方程表示度量张量随时间t的变化速率等于负的两倍的里奇曲率张量。里奇流的基本思想是通过演化方程使得流形上的度量逐渐“变平”,即通过时间演化减小里奇曲率。曲率描述流形的弯曲程度,里奇曲率张量描述流形上各点的平均曲率。度量张量描述了流形上小片区域的内积(衡量两个向量之间的关联程度,为标量)。流形的度量(metric)是测量点之间的距离。在微分几何中,度量以切向量的二次函数形式给出,测量其长度的平方。点之间路径的长度由切向量长度的积分给出。直观上,Ricci流的几何效果是“让流形变光滑”。

流形逐渐光滑图
从几何上看,里奇流有这些性质:保持一个里奇平坦(λ=0)的流形不变(四维闵氏时空是里奇平坦的,环面也是里奇平坦的);使一个正曲率(λ>0)的流形变小(洞太少);使一个负曲率(λ<0)的流形变大(洞太多)。三种情形如下图:

流形与曲率关系
与里奇流相关的核心概念是黎曼度量。黎曼度量是连接微积分与几何的桥梁,主要用于研究流形(曲面)上的长度、角度、体积和曲率。类似于热方程,里奇流就是流形中度量(metric)的偏微分演化方程,它试图扩展曲率、消除不规则性,以接近恒定的均一分布。庞加莱猜想的思想是,如果度量收敛到恒定的正曲率,则流形必定是球体。里奇流方法在宇宙演化研究中有重要应用,比如黑洞、物质分布等。当一个度量满足爱因斯坦方程:

意味着它描述了时空曲率(左边)与物质、能量(右边)的关系(省掉了圆周率π、万有引力常数G)。其中 R是里奇( Ricci) 标量,由Rij里奇张量缩并得到,反映时空弯曲程度;gij是度规张量,定义了时空几何性质,包括距离、角度和时间间隔的测量,决定了时空的度量和物体运动轨迹;Tij是能量-动量张量,描述了物质和能量的分布及其流动,包括物质的能量密度、动量密度和压力等。此方程说明物质和能量的存在使得时空弯曲,而时空弯曲又影响物质和能量的运动。这些现象对于理解老窖池也许有重要启发。黑洞产生条件——

目前对于高维流形的曲率流研究相对较少,未来可以探索更多关于高维流形上曲率流的性质和应用,也许会发现老窖也有“暗物质”“类黑洞”。利用里奇流概念可以优化微生物发酵过程,酿制优质白酒。可见,老窖天地观的要害在于“高维流形”。(作者系中共四川省委四川省人民政府决策咨询委员会副主任、成都市社科联主席、四川省酒类流通协会名誉会长、四川省社会科学院二级教授、博士生导师)