■ 李后强

●作者于2019年5月9日在“宽窄哲学与产品构建座谈会”上的讲话。
世界本无宽窄,宽窄全在心间。宽窄是主观世界与客观世界交互作用的结果。宽窄哲学的理论基础是唯物辩证法。对宽窄的认识取决于人的立场、观点和方法,与人的世界观、价值观和方法论有密切关系。我们曾经提出了宽窄系统论、宽窄价值论、宽窄模糊轮、宽窄相对论等观点,也初步建立了宽窄哲学体系。实际上,我们还要研究宽窄虚实论、宽窄相变论,这样才能使宽窄哲学的基石更加稳固。
客观世界的基本特征是二元性或者说对称性,比如阴阳、正负、黑白、对错、曲直、雌雄、公私、虚实等。在数学上,宽(1)与窄(0)对应的是二进制,属于布尔代数,也是计算机原理,开(1)与关(0)。由1和0可以构成十进制数学,可以构建世界各种秩序。“数论”就要研究这个问题。数学界最近很热的“黎曼猜想”就是研究质数(素数)分布规律的大学问,涉及世界本质问题。因此,可以说,世界是由宽窄构成,宽窄可以转化。宽与窄之间,应该存在一个壁垒或隧道,只有打通这个壁垒、墙壁,世界才是一体的、统一的,这是“相变理论”。从哲学上看,客观世界本身就有这个“隧道”,只是主观世界没有发现。
相变是一个高级的前沿的物理和数学问题,也是日常生活随时可见的现象。相变就是物质在外界条件连续变化时,从一种“相”突然变成另一种“相”的过程,比如冰融化成水,水变为气。我们最常见的“相”是气态、液态和固态,在一些极端的条件下,比如极高的温度或者极低的温度,会出现很多更为奇异的状态。我们所看到的相变,是分子在微观层面上一起作出改变的结果。比如水,宏观上,冰融化成水,再蒸发成水蒸气的过程中:在微观上,水分子先是像方阵士兵一样十分整齐地排列着,在宏观上就表现出冰的状态。当温度升高,士兵们在附近自由活动,不再整齐地保持队列,但依然挨在一起,在宏观上就呈现了水的形态;当温度再升高,士兵们完全自由运动,就呈现了水蒸气的状态。相变有多种形式,如一级、二级、高级相变,有形相变与无形相变。比如,视觉、味觉、磁性、性情相变,就是无形的。水的变化,就是一级相变(一阶导数不连续)。磁铁在升温时改变磁性就是二级相变(二阶导数不连续)。当然,也有不宽不窄、不阴不阳的情况,处于中间过渡状态,比如雌雄同体、灰色中性阶段,这与混沌学、突变论有关。我们需要研究宽窄变换的过程与途径。
宽窄之魂:拓扑相变
宽窄变换的最高境界是无形、无痕,润物细无声、分享大无边。这就是当今最前沿的科学“拓扑相变”,外文名topological phase transitions。拓扑学是由几何学与集合论发展出来的学科,研究空间、维度与变换等概念。它研究的主要内容是几何形状在连续形变中所不改变的性质,它只考虑物体间的位置关系而不考虑它们的形状和大小、宽窄。在拓扑学里,重要的拓扑性质包括连通性与紧致性。例如,一个有把手的茶壶连续变化成轮胎,而不是一个球。在拓扑学中,著名而重要的欧拉定理是:如果一个凸多面体的顶点数是v、棱数是e、面数是f,那么它们总有这样的关系:f+v-e=2。根据欧拉定理,可以得出这样一个有趣的事实:只存在五种正多面体。它们是正四面体、正六面体、正八面体、正十二面体、正二十面体。
拓扑相变是一种特殊的、没有对称破缺的相变,这种相变无法用朗道对称性破缺理论解释(相变是对称性变换),但拓扑数可以用来表征拓扑相变。三位美国科学家:戴维·索利斯(David J. Thouless)、迈克尔·科斯特利茨(J. Michael Kosterlitz)、邓肯·霍尔丹(F. Duncan M. Haldane),因为拓扑相变的科学发现于2016年10月4日获诺贝尔物理学奖。他们提出了BKT相变(Berezinskii- Kosterlitz-Thouless transition),其数学方法可以用来研究不同寻常的奇异的物质状态,如超导体、超流体或磁膜等,为我们打开了一个未知的世界。拓扑相有很多种,不仅存在于薄层和线状物,还存在于普通的三维材料中,为新一代电子器件开发和超导体的应用,未来量子计算机研制,带来了可见曙光。宽窄变换可以类比成拓扑相变。


宽窄之韵:虚实相变
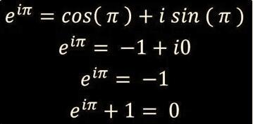
宽窄变换是交响曲,有韵律节奏,是虚实的结合,应该在复数空间探讨新性质。可以定义,实为窄,虚为宽,二者结合就是复数。我们把形如z=a+bi(a,b均为实数)的数称为复数,其中a称为实部,b称为虚部,i称为虚数单位i2=-1,当z的虚部等于零时,常称z为实数;当z的虚部不等于零时,实部等于零时,常称z为纯虚数。复数域是实数域的代数闭包,即任何复系数多项式在复数域中总有根。复数的集合用C表示,实数的集合用R表示,显然,R是C的真子集。复数集是无序集,不能建立大小顺序,也没有宽窄之分。将复数的实部与虚部的平方和的正的平方根的值称为该复数的模,记作 。复数的模是宽窄的总量度。复数由意大利米兰学者卡当在十六世纪首次引入,经过达朗贝尔、棣莫弗、欧拉、高斯等人的工作,此概念逐渐为数学家所接受,在宽窄哲学中有广泛应用。世界上最美丽的数学公式就是著名的欧拉公式,它把圆周率(π=3.14159)与自然对数底(e=2.71828)联系了起来,说明虚实相通,宽窄相连。

宽窄之本:阴阳相变
宽窄是视角差异,是心理记忆。把阳定义为宽,把阴定义为窄,宽窄变就是阴阳统一。阐述阴阳变化的简单的几何形状,就是“中华第一图”太极图。中国古代哲学用太极说明世界本原的范畴。太极符号出现在许多的文化中。早在公元前五世纪,在凯尔特艺术中就有与后来的太极图相似的图案。后来在罗马帝国的军服徽章中出现了与远东地区几乎完全一样的太极图图案,只是颜色不一样。
太极图有很多种,诸如周敦颐太极图、先天太极图(原名“天地自然之图”,俗称“阴阳鱼图”)、古太极八卦图(先天太极图周围配以八卦符号)、来知德太极图以及清朝端木国瑚太极图。历经流传至今,各图唯有先天太极图以及古太极八卦图人尽皆知,因此,现代人将单纯的阴阳鱼图称之为“太极图”,将附带八卦符号的阴阳鱼图称之为“太极八卦图”。“太极”一词,出于《庄子》:“大道,在太极之上而不为高;在六极之下而不为深;先天地而不为久;长于上古而不为老”。太,即大;极,指尽头,极点。物极则变,变则化,所以变化之源是太极。无极而太极,太极生两仪。世界是对称的结构。宇宙有黑洞,就有白洞。黑洞把物质、能量吸收进去,白洞把物质、能量释放出来。黑洞与白洞可能就是时间隧道、宇宙隧道。如果把宽窄定义为黑白,宇宙的黑洞和白洞就是宽窄隧道。

宽窄之神:质能相变
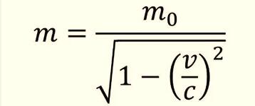
宽窄变换最精彩和神奇之处,就是质量与能量的转化。质量是窄,能量是宽。在爱因斯坦相对论中,物质的质量与能量是可以相互转化的,原子弹和加速器是这个原理的应用。质能方程的推导需要用到狭义相对论中的质速关系(从洛伦兹变换中得到):

E表示物体在光速C(常数)时所具有的能量(宽),m表示物体的质量(窄),V是物体运动速度,m0是静止质量。可见,速度v越大质量m越大,质量与能量转化方程:E=mc2。从质能方程中可以看出,质量和能量在本质上是等价的,说明宽窄可以转化。质量在某些情况下会转变为能量,例如,核裂变、核聚变和湮灭反应。反过来,能量在某些情况下也会转变为质量,例如,布莱特-惠勒过程、宇宙创生过程。

宽窄之易:主体相变
宽窄产品是要交易的,只有交易了才是商品。厂家是窄,市场是宽。公司是宽,用户是窄。商品交换就是所有权、使用权的交换,就是主体的变化,就是相变。公私相变是所有制的变化,比如国有企业与民营企业的混合改革。可以定义,公为宽,私为窄,那么国企混改就是宽窄变换,这是当前经济领域的热点。在学术界,国企混改是指在国有控股的企业中加入民间(非官方)的资本,使得国企变成多方持股,但还是国家控股主导的企业,来参与市场竞争。但混合所有制的目的并不是为了混合多方资本而混合,最终目的是为了让国企在改革中能够增加竞争力和活力,为企业打造一个符合现代企业治理的有竞争力、能够培养竞争力和创新力的治理体系。几年来,国企混合改革的政策体系已逐渐完善,改革的多项工作也在逐步扩围。如在央企层面,国家发改委在石油、天然气、电力、铁路、民航、电信、军工等行业和领域,选择 19 家企业开展重点领域混合所有制改革试点,实现了向社会资本放开竞争性业务。
宽窄之途:突变理论
宽窄有渐变,也有突变,有物理变化,也有化学反应。生产、销售、消费都有突变,“惊险一跳”。突变论是研究自然界和人类社会中连续渐变如何引起突变或飞跃,并力求以统一的数学模型来描述,预测并控制这些突变或飞跃的一门学科。突变论表明,质变既可通过飞跃的方式,也可通过渐变的方式来实现,在一定情况下,只要改变控制条件,一个飞跃过程可以转化为渐变,而一个渐变过程又可转化为飞跃。突变论认为事物结构的稳定性是突变的基础,事物的不同质态从根本上说就是一些具有稳定性的状态,这就是为什么有的事物不变,有的渐变,有的则突变的内在原因。在严格控制条件的情况下,如果质变经历的中间过渡状态是不稳定的,它就是一个飞跃过程; 如果中间状态是稳定的,它就是一个渐变过程。这启示我们,宽窄变换,包括宽窄产品的味道,首先要有稳定的坚实基础,其次是要把控外在条件,最后是要摸清突变的途径。

宽窄之进:超循环理论
事物发展是波浪式或螺旋式前进。宽窄变换、演化、进步,是循环过程,由低级到高级,并诞生新品种、新品质、新品牌。超循环理论是由德国科学家艾根(Manfred Eigen)于1970年提出的,他认为生命信息的起源是一个采取超循环形式的分子自组织过程,并把生物化学中的循环现象分为不同的层次:第一个层次是转化反应循环,在整体上它是个自我再生过程;第二个层次称为催化反应循环,在整体上它是个自我催化、自我复制过程;第三个层次就是所谓的超循环(hypercycle),是指催化循环在功能上是相互耦合起来的循环,形成多重网络结构。一般地说,并不要求所有组元都起着自催化剂的作用,只要此循环中有一个环节是自催化单元,此循环就能表现出超循环的特征。超循环的特征就是:不仅能自我再生,自我复制,而且还能自我选择,自我优化,指导其他环节再生,从而向更高的有序状态进化。
超循环结构演化的内部因素主要来自:复制误差(基因突变),内在随机性(非线性)和环境扰动。超循环结构进化要满足三个前提条件:⑴以足够大的负熵流推动结构的新陈代谢;⑵以足够强的复制能力使系统信息得以积累;⑶以组元间足够强的功能耦合保证结构的存在和发展。只有同时具备这三个条件,超循环结构才能稳定存在,发展进化,否则,退化是不可避免的。超循环理论已成为系统学的一个组成部分,对研究宽窄演化规律以及对复杂系统的处理都有深刻的影响,特别是对宽窄产品开发及企业转型升级有重要启示。
宽窄之表:临界现象与标度理论
宽窄变换的相变点就是临界点。在临界点附近存在普适性,可以用临界指数表征。临界现象(critical phenomenon)是指物质处在临界状态及其附近所具有的特殊的物理性质和现象。研究表明,在临界点,关联长度趋于无穷大,体系具有标度不变性和分形结构,临界指数之间存在一定关系,比如α + 2β + γ = 2 ,γ = β(δ-1)。临界指数是指连续相变时,热力学量在临界点临域的特性用幂函数来表述,其幂次就是临界指数。经典相变都是内部对称性变化,拓扑相变是拓扑数变化。拓扑相变是一种特殊的、没有对称破缺的相变,这种相变无法用朗道对称性破缺理论解释,拓扑数可以用来表征拓扑相变。普适性表明临界指数与物质系统的空间维数、序参量维数有关,只要空间维数和序参量维数相同,就是同一类体系,具有相同临界指数。
1869年T.安德鲁斯研究二氧化碳气、液两相密度差时发现,温度在31.04℃时,气、液密度趋同,两相界限消失,取名为临界状态。1871年J.范德瓦耳斯提出真实气体状态方程,如果压力、温度、体积以临界点参数作为单位,即P=p/pc、t=T/Tc、ν=V/Vc,则范德瓦耳斯方程可写成:
(P+3/ν2)(3ν-1)=8t
这是不包含任何表征特定物质的量,适用于任何物质的气态和液态,属于平均场的普适状态方程。

1937年L.朗道提出用序参量描述相变形式的理论,特别是他与V.京茨堡建立的超导唯象波函数理论。1966年L.卡达诺夫指出标度概念的重要性,在临界点附近粒子之间的关联、涨落起重要作用。1971年K.威耳孙用量子场论中重正化群方法,对卡达诺夫的物理概念进行了数学表述,论证了实验上总结出的临界现象的标度律和普适性,计算出符合实验的临界指数。威耳孙为此获得了1982年诺贝尔物理学奖。冰化为水,水变成水蒸气都需要吸热,相反的过程伴随放出热量,这是一级相变。在相变点,两相的化学势相等,但化学势的一级偏导数代表的物性有突变、不连续。二级相变又称连续相变,物质两相的化学势及其一级偏导数相等,但二级偏导数有突变、不连续。固体中居里点的铁磁-顺磁相变,在没有外磁场时金属正常态-超导态相变都是二级相变。固体中有许多连续相变现象。连续相变往往是由于体系的对称性改变,如位移型结构相变中是点阵的空间群改变;磁相变是晶体磁群改变;超导相变是规范对称性改变。处在高温相的对称性高,处在低温相的对称性低。朗道用序参量描述这两相的差异,高温相的序参量ψ=0,低温相的序参量ψ≠0。在临界点附近,序参量相对于平衡值有大的涨落,通常用r=0和r两点之间的关联函数来表示:
G(r)=〈ψ(r)ψ(0)〉-〈ψ(r)〉〈ψ(0)〉
〈〉表示统计平均值。当r较大时|G(r)|渐近于(1/r)e-r/ξ,ξ称为关联长度。序参量对外场的导数在临界点趋于无穷,这就意味着关联长度在临界点也应趋于无穷。于是,又再引入另外一些参量β、α、α'、γ、γ'、v、v'、η、δ等临界指数来描写ξ的临界行为。根据ξ的临界行为计算出九个临界指数,九个临界指数间有七个相互满足的关系式。所以,九个临界指数中只有两个独立指数。威耳孙用重正化群探索能使配分函数保持不变的变换性质,抓住相变的主要特征。具体做法分两个步骤:①由于T趋于Tc时,关联长度ξ趋于无限大,元胞可用一定尺度的集团代替,集团中序参量平均值替代元胞的序参量。集团之间相互作用以有效作用代替。②进行标度变换使其与原来模型一致。这两个步骤合起来用变换Rs表示。Rs一般是非线性变换。如此相继进行Rss'=RsRs'变换。这些变换组称为重正化群。最后,把在变换中的不动点同连续相变联系起来,给出临界点相变的特征。相变时序参量连续变化。在气-液临界点的相变中,序参量可选为两相的密度差或比容差;在铁磁-顺磁相变中可选固体的磁化强度,等等。借助于重正化群理论,可以分析临界现象,能说明空间维数与临界指数的普适关系。这些研究对凝聚态物理、统计物理、量子场论和粒子物理学都有深刻的影响。
理论与实验数据都指出,临界指数所反映的临界行为仅与系统的对称性和空间维数有关,而与体系的具体结构、相互作用的形式和强弱都没有关系。这里所指的对称性是指体系的内在对称性。这些重要结论启示我们,一般的宽窄变换是内部对称性的变化,高级的宽窄变换是拓扑相变,而对称性对于不同宽窄体系表现形式不同。重整群思想就是“筛选归并”思想,把小的作用因素归并到大的作用因素中,不断归并合并,最后剩下最大的因素,变量个数就大大减少了。有时可把几百个因素归并为两三个因素,比如只与空间维数和对称性有关,处理难度就大大降低。本质上,这是抓主要矛盾的方法。空间维数是宽窄的主要参数,维数越大形态越宽,维数越小形态越窄。在连续空间(如分形)中,维数是连续变化的,可以有分数空间,因此宽窄是连续变换的。0维数就是一个几何点,没有大小;1维数表示一条线,有长度没有粗细;2维数表示一个平面,有大小没有厚度;3维数表示立体,有高低大小;4维数表示有体积并且随着时间变化。一切矛盾都产生于空间维数太低,只要有足够大的空间维数就没有矛盾出现。所以,矛盾源于空间维数,宽窄变换就可以化解矛盾。应该有各种宽窄产品,才能适应社会,化解矛盾,建设和谐社会。可见,宽窄产品的科学内涵特别是哲学底蕴很深刻。
(本文系李后强于2019年5月9日在“宽窄哲学与产品构建座谈会”上的讲话。李后强,中国系统科学研究会副会长,四川省决策咨询委员会副主任,四川省社会科学院党委书记、教授、博士生导师)